Lompat ke konten Lompat ke sidebar Lompat ke footer

Matriks Ordo 4X4 - Elemen Matriks Ordo Identitas Jenis Transpose Determinan Invers - Perkalian matriks 2x3, perkalian matriks 4x4, juga contoh soal perkalian matriks ordo 3x3.

Matriks Ordo 4X4 - Elemen Matriks Ordo Identitas Jenis Transpose Determinan Invers - Perkalian matriks 2x3, perkalian matriks 4x4, juga contoh soal perkalian matriks ordo 3x3.. Word 2007, q kesusahan ngetik matriks yang berordo 4x4. Mendeterminankan matriks berordo 4x4 dengan metode laplcae видео determinan matriks ordo 4 x 4 metode laplace канала adam ramadhan. Hitunglah berapa nilai determinan dari matriks ordo 2 x 2 berikut ini : #include iostream.h void main(){ int b34,c34,a34; Contoh pengolahan matriks ordo 4x4.

Contoh pengolahan matriks ordo 4x4. Void tampilanhasil() { cout<<\nhasil perkalian matriks a dengan b :<<endl; Perlu diingat bahwa m dan n hanya. Mumpung nganggur aku coba nyicil ngerjain dikit. Matriks identitas atau matriks satuan dengan ordo 4.

Cara Perkalian Matriks 2x2 3x3 Dst Dan Contoh Soal Lengkap
Cara Perkalian Matriks 2x2 3x3 Dst Dan Contoh Soal Lengkap from caraharian.com
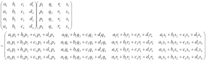
Matriks bisa berbentuk persegi atau persegi panjang. Menentukan determinan matriks 4x4 tidaklah susah, hanya pada pengerjaanya mungkin memerlukan waktu yang lebih lama. Jika banyak baris suatu matriks adalah m, dan banyak kolom suatu matriks adalah n, maka matriks tersebut memiliki ordo matriks atau ukuran m x n. Cara menghitung determinan matriks 4x4 dengan kofaktor 16 contoh soal berordo 3 kali dan penyelesaiannya mengerjakan invers 3×3 ilmusosial id ordo 5x5 revisi sekolah. Terima kasih telah mengunjungi blog bagikan contoh 2019. Permasalahan ini berawal dari tugas aljabar linear. Matriks dalam ilustrasi di bawah ini mempunyai ordo 2×3. Dalam menghitung ordo n dengan n≥3 , terlebih dahulu kita harus memahami tentang apa itu minor dan kofaktor.

Jika banyak baris suatu matriks adalah m, dan banyak kolom suatu matriks adalah n, maka matriks tersebut memiliki ordo matriks atau ukuran m x n.

Mumpung nganggur aku coba nyicil ngerjain dikit. Awalnya saya bingung bagaimana proses perkalian matriks, apakah sama dengan penjumlahan atau pengurangan matriks. Determinan matriks ordo 2x2 3x3 nxn dan contoh soalnya. Contoh pengolahan matriks ordo 4x4. Diketahuai fungsi f(x)=2x+4tentukan nilai f(2)! Matriks ordo 3 ialah matriks bujur sangkar dengan banyaknya kolom dan baris sama dengan tiga. Eh tapi pas waktu q coba ngetik di ms. .akhirnya q temuin jg caranya. Syarat yg dipenuhi sehingga segitiga abc kongruen dengan ssgitiga dec adalah. Hal ini terjadi pada perkalian matriks ordo mxn dengan nxp dengan n bukan 1. Isn't that why you put getch() inside the loop? Mencari minor, cofaktor, adjoin, determinan dan invers pada matriks ordo 4 x 4. Terima kasih telah mengunjungi blog bagikan contoh 2019.

Mencari minor, cofaktor , adjoin, determinan dan invers pada matriks ordo 4 x 4. Mendeterminankan matriks berordo 4x4 dengan metode laplcae видео determinan matriks ordo 4 x 4 metode laplace канала adam ramadhan. Matriks identitas atau matriks satuan dengan ordo 4. For(int i=0;i<6;i++) { for(int j=0;j<6;j++) { cout<<matrikshasilij<< ; Ne berawal dari tugas aljabar linear & matriks.

Pengembangan Algoritma Hill Cipher Dengan Kunci Matriks 4x4 Menggunakan Java Kita Informatika
Pengembangan Algoritma Hill Cipher Dengan Kunci Matriks 4x4 Menggunakan Java Kita Informatika from 1.bp.blogspot.com
Ada soal nyari determinan dengan cara sarus, kofaktor, eselon baris, obe, dan cara langsung. Ordo matriks adalah banyak susunan bilangan horizontal dan vertikal. Aku bngung coz d ms.word 2010 cuman bisa buat matriks ordo maksimal 3x3 di equation editor. Mencari minor, cofaktor, adjoin, determinan dan invers pada matriks ordo 4 x 4. Berikut ini adalah beberapa rumus perkalian matriks untuk. Matriks dalam ilustrasi di bawah ini mempunyai ordo 2×3. Contoh pengolahan matriks ordo 4x4. Begitulah informasi yang bisa kami uraikan mengenai contoh soal matriks 4x4 dan penyelesaiannya.

Mumpung nganggur aku coba nyicil ngerjain dikit.

Matriks identitas atau matriks satuan dengan ordo 4. Menentukan determinan matriks 4x4 tidaklah susah, hanya pada pengerjaanya mungkin memerlukan waktu yang lebih lama. Mumpung nganggur q coba nyicil ngerjain dikit2. Contoh pengolahan matriks ordo 4x4. Matriks ordo 3 ialah matriks bujur sangkar dengan banyaknya kolom dan baris sama dengan tiga. Kesusahan ngetik matriks yang berordo 4x4. Mendeterminankan matriks berordo 4x4 dengan metode laplcae видео determinan matriks ordo 4 x 4 metode laplace канала adam ramadhan. Dengan cara yang hampir sama, kita dapat menentukan determinan matriks persegi dengan ordo yang lebih besar. Determinan matriks ordo 2x2 3x3 nxn dan contoh soalnya. Isn't that why you put getch() inside the loop? Cout<<\tmatrik ordo 4x4\n<<endl cout<<==> hasil : Jawaban untuk matriks ordo 2 x 2 di atas ialah seperti berikut ini Matriks bisa berbentuk persegi atau persegi panjang.

Mencari minor, cofaktor , adjoin, determinan dan invers pada matriks ordo 4 x 4. Matriks ordo 3 ialah matriks bujur sangkar dengan banyaknya kolom dan baris sama dengan tiga. Perkalian matriks 2x3, perkalian matriks 4x4, juga contoh soal perkalian matriks ordo 3x3. Kesusahan ngetik matriks yang berordo 4x4. For(int i=0;i<6;i++) { for(int j=0;j<6;j++) { cout<<matrikshasilij<< ;

Search Q Invers Matriks 3x3 Tbm Isch
Search Q Invers Matriks 3x3 Tbm Isch from
.akhirnya q temuin jg caranya. Contoh pengolahan matriks ordo 4x4. Hal tersebut disebabkan matriks tersebut mempunyai dua baris dan tiga kolom. Banyaknya baris dan kolom dalam matriks disebut sebagai ordo. Jika banyak baris suatu matriks adalah m, dan banyak kolom suatu matriks adalah n, maka matriks tersebut memiliki ordo matriks atau ukuran m x n. Ordo matriks adalah banyak susunan bilangan horizontal dan vertikal. Matriks adalah sekumpulan bilangan yang disusun dalam bentuk baris dan kolom yang ditempatkan dalam kurung biasa atau kurung siku. Kesusahan ngetik matriks yang berordo 4x4.

Void tampilanhasil() { cout<<\nhasil perkalian matriks a dengan b :<<endl;

Adalah matriks bujur sangkar 4x⋅4. Mencari minor, cofaktor , adjoin, determinan dan invers pada matriks ordo 4 x 4. Cara sederhana determinan matriks ordo 4x4 dalam empat langkah.sungguh suatu kebetulan. Transpose matriks tersebut memiliki ordo n × m. Menyelesaikan sistem persamaan linier dengan aturan cramer. Dengan cara yang hampir sama, kita dapat menentukan determinan matriks persegi dengan ordo yang lebih besar. Hitunglah berapa nilai determinan dari matriks ordo 2 x 2 berikut ini : Jika banyak baris suatu matriks adalah m, dan banyak kolom suatu matriks adalah n, maka matriks tersebut memiliki ordo matriks atau ukuran m x n. Matriks identitas atau matriks satuan dengan ordo 4. Further, you never assign any value greater than 4 to any element of matriks, so it's not clear how you expect 5 to be printed. Word 2007, q kesusahan ngetik matriks yang berordo 4x4. Determinan matriks ordo 2x2 3x3 nxn dan contoh soalnya. Isn't that why you put getch() inside the loop?

Posting Komentar untuk "Matriks Ordo 4X4 - Elemen Matriks Ordo Identitas Jenis Transpose Determinan Invers - Perkalian matriks 2x3, perkalian matriks 4x4, juga contoh soal perkalian matriks ordo 3x3."